개발계발
프로그래머스 - 행렬의 곱셈(12949) 본문
문제 설명
2차원 행렬 arr1과 arr2를 입력받아, arr1에 arr2를 곱한 결과를 반환하는 함수, solution을 완성해주세요.
제한 조건
- 행렬 arr1, arr2의 행과 열의 길이는 2 이상 100 이하입니다.
- 행렬 arr1, arr2의 원소는 -10 이상 20 이하인 자연수입니다.
- 곱할 수 있는 배열만 주어집니다.
접근 방식
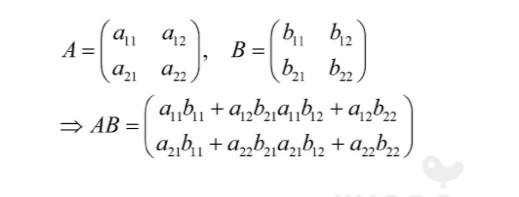
- 행렬의 곱셈 공식을 알아야 함

- a*b 크기의 행렬과 c*d 크기의 곱셈의 결과 행렬의 크기는 a*d이다.
- 첫째 행렬의 열 갯수와 둘째 행렬의 행 갯수가 동일해야한다.
- 곱셈한 결과의 1행의 0번 인덱스는
[첫번째 행렬의 (0,0) 원소 * 두번째 행렬의 (0,0) 원소] + [첫번째 행렬의 (0,1) 원소 * 두번째 행렬의 (1,0) 원소]
-> 즉, 첫번째 행렬은 행의 인덱스(x)가 증가, 두번째행렬은 열의 인덱스(y)가 증가
1. [arr2의 안에 1차원 배열의 크기 * arr2의 1차원 배열의 크기] 의 배열 생성
2. 첫번째 행렬의 y값이 1씩 증가하고, 두번째 행렬의 x값이 1씩 증가하도록 중첩 for문 구현
정답 코드
def solution(arr1, arr2):
answer = [[0] * len(arr2[0]) for _ in range(len(arr1))]
for i in range(len(arr1)):
for j in range(len(arr2[0])):
for k in range(len(arr2)):
answer[i][j] += arr1[i][k] * arr2[k][j]
return answer'알고리즘' 카테고리의 다른 글
| 프로그래머스 - 큰 수 만들기(42883) (0) | 2024.05.16 |
|---|---|
| 프로그래머스 - 기사단원의 무기(136798) (0) | 2024.05.16 |
| 프로그래머스 - 거리두기 확인하기(81302) (1) | 2024.05.02 |
| 프로그래머스 - 삼각달팽이(68645) (2) | 2024.05.01 |
| 프로그래머스 - 행렬 테두리 회전하기(77485) (1) | 2024.04.30 |